Quercefit®
Browse all Indena’s documents about products, events, company information and so much more.
Go to sectionPeer-reviewed science on Quercefit®
The administration of Quercefit® for a three-month period has been correlated with a favorable modulation of the body’s physiological response to symptomatic Covid-19 (Figures 1, 2).
This stems from the results of a single-center, prospective, randomized, controlled cohort study that enrolled a total of 120 healthcare workers (not vaccinated and taking all virus containment measures) randomized into two groups (60 subjects each), supplementing respectively with Quercefit® (250 mg twice a day) or a placebo.
Figure 1: Survival without Covid-19 during follow-up time between groups.
Figure 2: Conditions assessed by NEWS in subjects exposed to Covid-19.
The administration of Quercefit® as diet supplementation showed positive effects in another study: of the 5 subjects who contracted Covid-19, there was only 1 out of the 60 in the quercetin Phytosome® group and 4 out of 60 in the control group. Complete clinical remission was recorded at 7 and 15 days in the supplementation and placebo groups, respectively.
These data were obtained during a prospective, randomized, controlled, open-label study in which 152 subjects were enrolled and randomized in two groups treated respectively with standard care or standard care plus Quercefit® (500 mg twice a day).2
A second clinical trial confirmed the benefits of diet supplementation with quercetin. The results showed that subjects who received Quercefit® (n= 21) had better outcomes compared to the ones receiving standard care.3
These data were validated thanks to the completion of an initial clinical study now extended to 100 Sars-CoV-2-positive subjects that received standard care either alone or with Quercefit® as add-on supplementation (500 mg 3 times a day for the first week; 2 times a day for the second). The results confirmed that subjects who received standard care plus Quercefit® recovered faster and were in better health compared to the control group.4
Indeed, 68% of the subjects who received quercetin supplementation recovered faster from the virus (within one week), compared to 24% in the control group (Figure 3). Moreover, individuals following the Quercefit® regimen had weaker symptoms and showed a better biomarker profile (reduction of LDH) within a week. These data are also complemented by the confirmation of the product’s good tolerability.4
Figure 3: Subjects’ follow-up RT-PCR COVID-19 test results in the two groups.
Repeated oral intake of a Quercefit®-containing supplement for 4 weeks has been shown to reduce allergy-related symptoms such as eye itching, sneezing, nasal discharge and sleep disorders compared to the placebo group (n=66).5
Moreover, the treated group also experienced improved quality of life, as reported in the chart below (Figure 4). 5
Figure 4: Total score of the Japanese Rhino-conjunctivitis Quality of Life Questionnaire in the two groups, before starting supplementation (baseline), and 2 and 4 weeks later. Graphic representation of ref.1 table III.
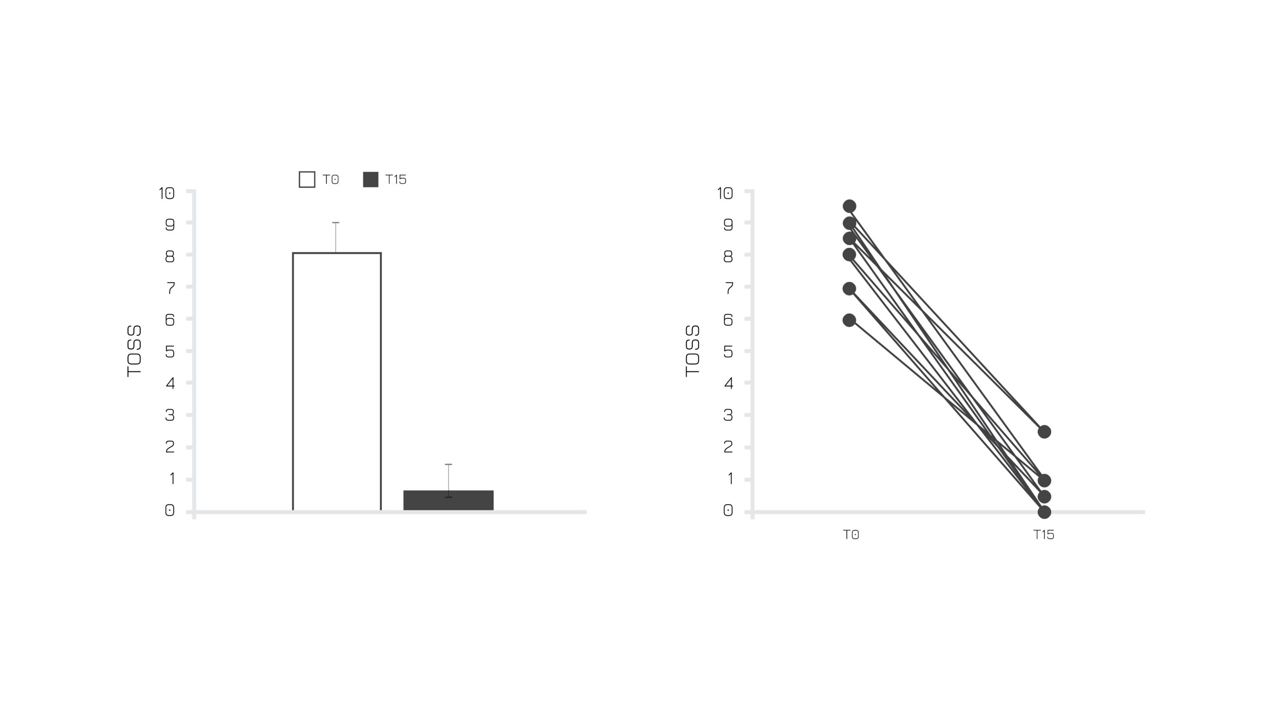
Confirming its beneficial role for ocular allergy-related disorders, a study performed on adults affected by allergic conjunctivitis showed that Quercefit® may potentially be the perfect natural aid to avoid clinical worsening. In particular, an analysis on 15 subjects after 15 days of supplementation (250 mg, twice a day) highlighted significant improvements in terms of Total Ocular Symptoms Score (TOSS) (Figure 5).6
Figure 5: TOSS score before and after 15 days of Quercefit® supplementation.
Quercefit® shows a potential promising effect during allergy season. A further study confirms that after 30 days, administration optimizes general wellbeing in allergy-prone subjects and modulates rhinitis, in addition to reducing the frequency of intermittent discomforts up to 50% during the day and up to 70% during the night.7
A series of 8 case studies have confirmed that Quercefit® can be the perfect ally for eye health, during topical antibiotic therapy on damaged ocular tissues (Figure 6).
Figure 6: Corneal condition following misuse of soft daily contact lenses, before (a) and after (b) supplementation.
Quercefit® provides an optimized quercetin solubility, proving up to 20-fold more bioavailable than unformulated quercetin, remaining in line with a diet rich in vegetables and fruits. Therefore, it can be used at lower dosages, while still offering the benefits of a quercetin full serving.
According to a trial on 12 participants (aged 18-50) administered with one oral dose of either 500 mg unformulated quercetin, 250 mg of Quercefit® or 500 mg of Quercefit®, Quercefit® optimizes quercetin plasma levels (Figure 7).
Figure 7: Time-evolution of quercetin plasma concentrations (ng/ml) after oral administration of unformulated quercetin (red), Quercefit® 250 mg (gray) and Quercefit® 500 mg (blue).
In a trial conducted on 48 non-professional triathlon athletes, Quercefit® showed positive effects on training and performance: the group administered with Quercefit® ran faster (-11.3% time from start to finish line, compared to -3.9% in the control group).
In addition, post-run muscular discomfort, cramps and recovery time all improved with Quercefit®, and oxidative stress was balanced (Figure 8).
Figure 8: Plasma-free radical (PFR) units in the group administered with Quercefit® and in the control group.
BIBLIOGRAPHY
1Rondanelli M. et al.; Life (2022).
2Di Pierro F. et al.; Int J Gen Med 14 (2021):2359.
3Di Pierro F. et al.; Int J Gen Med 14 (2021):2807-2816.
4Di Pierro F. er al; Frontiers in Pharmacology (2023).
5Yamada, S. et al. European review for medical and pharmacological sciences (2022) 4331–4345.
6 Mazzolani et al.; Austin of allergy (2022).
7Cesarone, M. R., et al.; Minerva medica (2019).
8Mazzolani et al.; International Journal of Case Studies in Clinical Research (2022); Volume 6 Issue 3: 10-19.
9Riva A. et al.; Eur J Drug Metab Pharmacokinet (2018).
10Riva A. et al.; Minerva Medica (2018); 109(4):285-9.
Sorry, our website doesn't support IE11 and older versions
For a better experience try a modern browser:
This is a private file, to request the download of this resource, please fullfill the fields below.